Federal Identification Number Tufts Health Plan
048674079 EINTAX ID TUFTS HEALTH PLAN Employer. 711 Monday through Friday 8 am.
Tufts Health Plan Medicare Complement.
Federal identification number tufts health plan. The IRS ruling year for tax exemption was 2017. UniCare Indemnity Plan Medicare Extension OME. If the form is unavailable online please contact our Member Services Department at the number on your member ID.
Question Cigna Tufts Health Plan How do I identify Cigna or Tufts Health Plan as the primary administrator. If you have not yet completed the one-time process to set-up your new login information please enter your username in the field to get started. Call Tufts Health Plans Member Line 800-462-02.
UniCare Indemnity Plan Basic Community Choice and PLUS. Federal Tax Identification Number. Donations may or may not be tax-deductible.
CareLink Cigna IDcard Alphanumeric IDnumber Begins with U Example. A nonprofit organization founded in 1979 Tufts Health Plan is nationally recognized for its commitment to providing innovative high-quality health care coverage. Tufts Health Freedom Plan will not be mailing copies of the 1095-B forms.
With your member portal you can manage your health care 247 and do things like. If your member ID card is ever damaged lost or stolen call us right away at 8882571985 TTY. A federal tax ID number for an entity is 2 digits followed by a dash followed by seven more digits.
CareLink Cigna IDcard Alphanumeric IDnumber Begins with U Example. TUFTS HEALTH PLANAn Employer Identification Number EIN is also known as a Federal Tax Identification Number and is used to identify a business entity. TUFTS HEALTH PLAN INC.
U12345678 01 CareLink Tufts Health PlanID card Numeric ID number Begins with 775 776 888 or 889 Example. If you join a health club or fitness facility that meets the above requirements you are eligible to receive up to 150 per calendar year toward club membership fees andor exercise classes. WATERTOWN MA Business Name.
Tufts Health Unify A nonprofit organization founded in 1979 Tufts Health Plan is nationally recognized for its commitment to providing innovative high-quality health care coverage. We will send you a new card. The IRS NTEE classification code is Y20 Insurance Providers Services within the MutualMembership Benefit Organizations Other category.
You can also request a new member ID card with your member portal a self-service tool. Please enter your Email Address so we can identify you. So I deleted private insurance and just indicated Medicare.
13355 Tufts Health Plan Spirit. It wasnt until I went to review my return that they wanted the FEIN. Generally businesses need an EIN.
I had originally clicked the box that I also had private insurance --Tufts Health PlanTufts Medicare Complement but then realized that I probably just needed to enter Medicare. WATERTOWN MA Business Name. We now require that an email address be used to login to your online account.
Tufts Health Plan Select Network Yes This plan covers preventive and medically necessary health care services and supplies. If the number is in that format it is probably federal and may also be used as. Insurance company federal identification number must be entered.
If the form is unavailable online please contact our Member Services Department at the number on your member ID card. Health New England Medicare Supplement Plus. Ins Co ID number _____ 0 2106 Reply.
Tufts Health Plan Navigator. Federal Tax Identification Number. Members must choose a PCP and only see specialists who participate in the Select Network.
Tufts Health Plan Select Network Appropriately authorized in-plan medically necessary services are covered at 100 minus the. The plan offers members and employers an array of health management programs which support evidence-based approaches to health. 711 Already a Member.
Tufts Health Plan Medicare Preferred. TUFTS HEALTH PUBLIC PLANS INC. Federal Tax Identification Number.
TUFTS HEALTH PUBLIC PLANS INC. Tufts Health Plan will not be mailing copies of the 1095-B forms. The plan offers members and employers an array of health management programs which support evidence-based approaches to health and wellness.
You can confirm enrollment find out the status of your ID card or print out an ID card by doing the following. The 1095-B form will be available online only by January 31 2021. TUFTS HEALTH PUBLIC PLANS INC is headquartered in WATERTOWN MA and is a 501c4 organizationEIN.
TUFTS HEALTH PLAN INC. If you have any questions call Tufts Health Plan Medicare Preferred Customer Relations at. You may apply for an EIN in various ways and now you may apply online.
I indicated Medicare and I got the message that seemed to indicate everything was OK. The 1095-B form will be available online only by January 31 2021. Federal identification number tufts health plan.

Tufts Health Public Plans Inc Federal Id Number

Tufts Health Plan And Harvard Pilgrim Health Care Sign Definitive Agreement To Combine Organizations Business Wire
Https Tuftshealthplan Com Documents Members Forms Rit Authorization To Disclose Phi
Tufts Health Public Plans Inc Federal Id Number
Https Tuftshealthplan Com Documents Members Handbooks Ritogether Member Handbook
Https Www Tuftsmedicarepreferred Org Sites Default Files Plan Document File H2256 2019 318 C Eg Value Rx 11 1 No Highlights Lk Pdf

Hospital Beds Tufts Health Plan

Tufts Health Public Plans Inc Federal Id Number

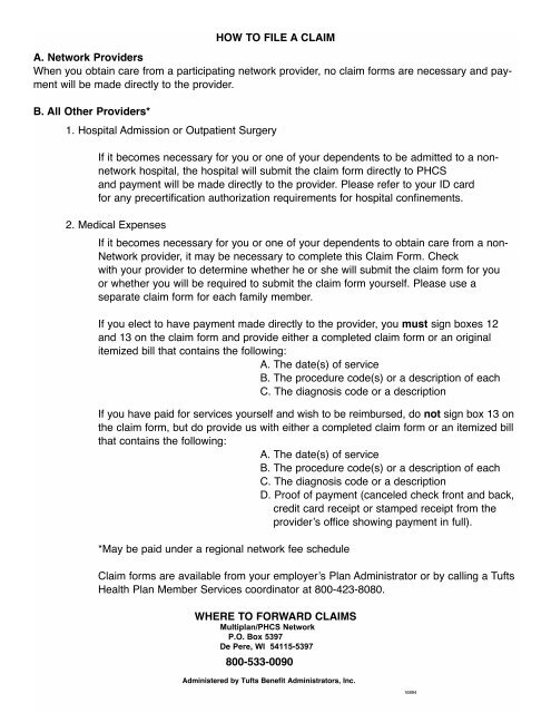
How To File A Claim A Network Providers Tufts Health Plan
Https Tuftshealthplan Com Documents Employers Manuals Ma Employer Group Hmo Manual
Https Network Health Nfphealth Com Files Direct Member Handbook 2018 Update August 2018 Rev Aspx
Https Tuftshealthplan Com Documents Employers Manuals Ma Employer Group Hmo Manual

Tufts Health Ritogether Faq Tufts Health Public Plans Our Plans Provider Tufts Health Plan
Https Static Cigna Com Assets Chcp Pdf Resourcelibrary Medical Pr Tufts Qrg Pdf

Tufts Health Public Plans Inc Federal Id Number

Tufts Health Public Plans Inc Federal Id Number
Https Static Cigna Com Assets Chcp Pdf Resourcelibrary Medical Pr Tufts Qrg Pdf
Https Static Cigna Com Assets Chcp Pdf Resourcelibrary Medical Pr Tufts Qrg Pdf
Administrative Information Important Facts Tufts Health Plan Spd
Post a Comment for "Federal Identification Number Tufts Health Plan"